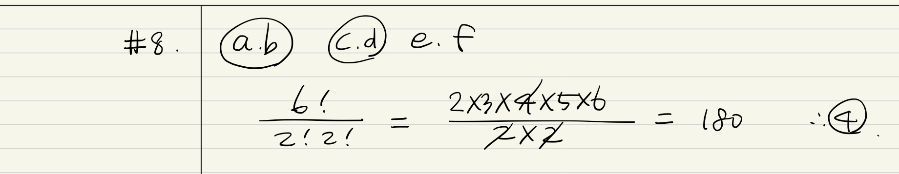
-
여러가지 순열 Level1 기초연습수학 2020. 6. 27. 18:13반응형







반응형'수학' 카테고리의 다른 글
udemy로 선형대수학 공부하기 (0) 2025.05.08 01 여러가지 순열 (0) 2020.06.09 EBS 수능특강 수학영역 <확률과 통계> (0) 2020.06.08








| udemy로 선형대수학 공부하기 (0) | 2025.05.08 |
|---|---|
| 01 여러가지 순열 (0) | 2020.06.09 |
| EBS 수능특강 수학영역 <확률과 통계> (0) | 2020.06.08 |