-
01 여러가지 순열수학 2020. 6. 9. 14:21반응형
1. 원순열
(1) 원순열의 뜻
: 서로 다른 것을 원형으로 나열하는 순열
(2) 원순열의 수
: 서로 다른 n개를 원형으로 나열하는 원순열의 수는

(3) 서로 다른 n개에서 r (0<r≤n)개를 택하여 원형으로 나열하는 경우의 수는

2. 중복순열
(1) 중복순열의 뜻
: 서로 다른 n개에서 중복을 허락하여 r개를 택해 일렬로 나열하는 것을 n개에서 r개를 택하는 중복순열이라 하고, 이러한 중복순열의 수를 기호로

와 같이 나타낸다.
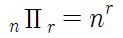
(2) 중복순열의 수
: 서로 다른 n개에서 r개를 택하는 중복순열의 수는

3. 같은 것이 있는 순열
(1) 같은 것이 있는 순열의 뜻
: 같은 것이 포함되어 있는 n개를 일렬로 나열하는 것
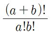
(2) 같은 것이 있는 순열의 수
: n개 중에 같은 것이 각각 p개, q개, … , r개씩 있을 때, 이들을 모두 일렬로 나열하는 순열의 수는

(3) 최단 거리로 가는 경우의 수
: 그림과 같이 가로 방향의 칸의 수가 a, 세로 방향의 칸의 수가 b일 때, 이 도로망을 따라 A지점에서 B지점까지 최단 거리로 가는 경우의 수는

반응형'수학' 카테고리의 다른 글
udemy로 선형대수학 공부하기 (0) 2025.05.08 여러가지 순열 Level1 기초연습 (0) 2020.06.27 EBS 수능특강 수학영역 <확률과 통계> (0) 2020.06.08